bauszerBauszer – Társasház építési program

Olyan lakások lekötésének lehetősége, amelyek megfelelnek a CSOK program 10+10 milliós igényléséhez.

MŰSZAKI LEÍRÁS

Jelen műszaki leírás az előszerződés és az adásvételi szerződés részét képezi. A szerződésben megjelölt eladó, jelen esetben építtető a lakás kulcsrakész állapotú átadását jelen műszaki leírásban foglalt tartalommal, az alábbi berendezési és felszerelési tárgyak beépítésével vállalja, a vevő jelen esetben megrendelő részére.

  Szerkezeti adatok (Kattintson a letölthető dokumentumokért a listaelemekre!)

 

 

 

 

 

 

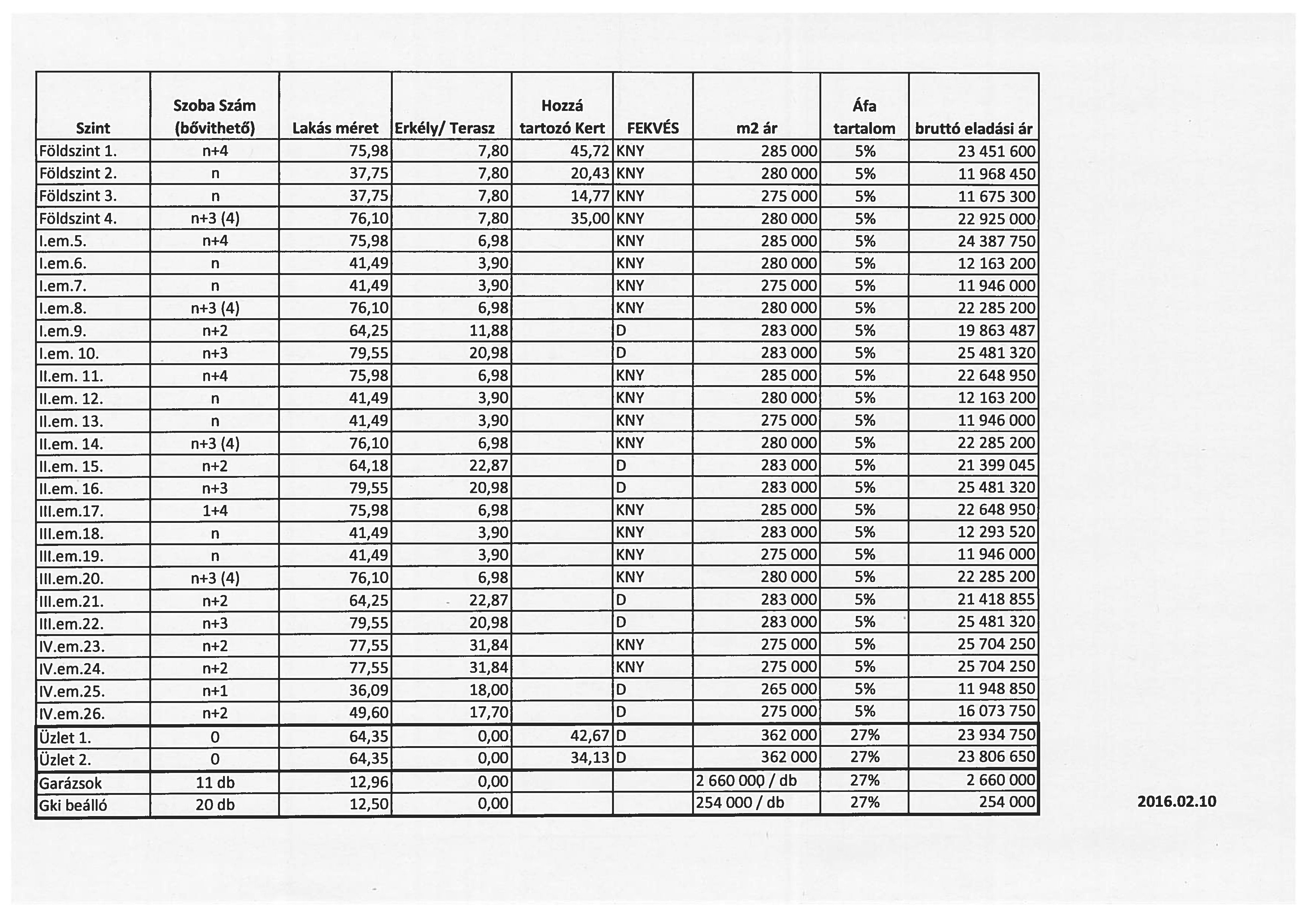
Társasház-lakások-árjegyzék

Az Otthontámogatási progrmaban jelenleg elérhető építési telkek Mórahalmon

Táblázatunkban minden fontos információt megtalálhat a szabad telkekről.

mátyás
nagyimre
munkácsy
balogh

0
Elkelt telkek száma
0
Szabad telkek száma
0
Elkelt lakások száma
0
Szabad lakások száma

Elérhetőségek

6782 Mórahalom
Szentháromság tér 1.

Telek értékesítés: Molnárné Tálas Eszter 62/281-022/169-es mellék
Email: telek@morahalom.hu

Miért válassza Mórahalmot?

  • A családok otthonteremtési kedvezményén felül további támogatásokat biztosítunk.
  • A piaci árnál jóval kevesebbért juthat kedvezményes, közművesített telekhez.
  • 1 millió forint vissza nem térítendő készpénztámogatást nyújtunk az építkezéshez.
  • 250 ezer forintig álljuk a tervezési költséget, amennyiben az általunk ajánlott tervező készíti a tervrajzot.
  • A megvásárolt telek összegének egy részét is elszámolhatóvá tesszük.

Idősek garzonháza

Az önkormányzat a családokkal a városba települő idősebb generációknak is biztosít lakhatást.

Saroktelki sorházak

Szöveg.